Covidh 534920 full analysis,charts,indicators,moving averages,SMA,DMA,EMA,ADX,MACD,RSI
Covidh 534920 WideScreen charts, DMA,SMA,EMA technical analysis, forecast prediction, by indicators ADX,MACD,RSI,CCI BSE stock exchange
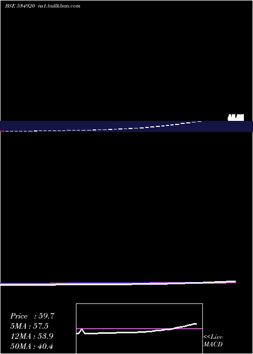
Daily price and charts and targets Covidh
Strong Daily Stock price targets for Covidh 534920 are 55.16 and 55.16
| Daily Target 1 | 55.16 |
| Daily Target 2 | 55.16 |
| Daily Target 3 | 55.16 |
| Daily Target 4 | 55.16 |
| Daily Target 5 | 55.16 |
Daily price and volume Covidh
| Date | Closing | Open | Range | Volume | Mon 30 March 2026 | 55.16 (2%) | 55.16 | 55.16 - 55.16 | 0.2617 times | Fri 27 March 2026 | 54.08 (2%) | 54.08 | 54.08 - 54.08 | 0.0387 times | Wed 25 March 2026 | 53.02 (1.98%) | 53.02 | 53.02 - 53.02 | 0.0698 times | Tue 24 March 2026 | 51.99 (1.98%) | 51.99 | 51.48 - 51.99 | 0.1829 times | Mon 23 March 2026 | 50.98 (1.98%) | 50.98 | 50.98 - 50.98 | 1.2026 times | Fri 20 March 2026 | 49.99 (2%) | 49.99 | 49.99 - 49.99 | 7.8982 times | Thu 19 March 2026 | 49.01 (2%) | 49.01 | 49.01 - 49.01 | 0.0165 times | Wed 18 March 2026 | 48.05 (2%) | 48.05 | 48.05 - 48.05 | 0.1042 times | Tue 17 March 2026 | 47.11 (1.99%) | 47.11 | 47.11 - 47.11 | 0.225 times | Mon 16 March 2026 | 46.19 (1.99%) | 46.19 | 46.19 - 46.19 | 0.0003 times | Fri 13 March 2026 | 45.29 (1.98%) | 45.29 | 45.29 - 45.29 | 0.0003 times |
Weekly price and charts Covidh
Strong weekly Stock price targets for Covidh 534920 are 55.16 and 55.16
| Weekly Target 1 | 55.16 |
| Weekly Target 2 | 55.16 |
| Weekly Target 3 | 55.16 |
| Weekly Target 4 | 55.16 |
| Weekly Target 5 | 55.16 |
Weekly price and volumes for Covidh
| Date | Closing | Open | Range | Volume | Mon 30 March 2026 | 55.16 (2%) | 55.16 | 55.16 - 55.16 | 0.2 times | Fri 27 March 2026 | 54.08 (8.18%) | 50.98 | 50.98 - 54.08 | 1.1418 times | Fri 20 March 2026 | 49.99 (10.38%) | 46.19 | 46.19 - 49.99 | 6.3007 times | Fri 13 March 2026 | 45.29 (10.36%) | 41.86 | 41.86 - 45.29 | 0.3823 times | Fri 06 March 2026 | 41.04 (8.17%) | 38.69 | 38.69 - 41.04 | 0.001 times | Fri 27 February 2026 | 37.94 (10.32%) | 35.07 | 35.07 - 37.94 | 0.0015 times | Fri 20 February 2026 | 34.39 (10.33%) | 31.79 | 31.79 - 34.39 | 0.0035 times | Fri 13 February 2026 | 31.17 (10.3%) | 28.82 | 28.82 - 31.17 | 0.0215 times | Fri 06 February 2026 | 28.26 (12.54%) | 25.61 | 25.61 - 28.26 | 1.9466 times | Fri 30 January 2026 | 25.11 (8.19%) | 23.67 | 23.67 - 25.11 | 0.001 times | Fri 23 January 2026 | 23.21 (10.26%) | 21.47 | 21.47 - 23.21 | 0.0597 times |
Monthly price and charts Covidh
Strong monthly Stock price targets for Covidh 534920 are 46.93 and 63.4
| Monthly Target 1 | 33.2 |
| Monthly Target 2 | 44.18 |
| Monthly Target 3 | 49.67 |
| Monthly Target 4 | 60.65 |
| Monthly Target 5 | 66.14 |
Monthly price and volumes Covidh
| Date | Closing | Open | Range | Volume | Mon 30 March 2026 | 55.16 (45.39%) | 38.69 | 38.69 - 55.16 | 3.5007 times | Fri 27 February 2026 | 37.94 (51.1%) | 25.61 | 25.61 - 37.94 | 0.8607 times | Fri 30 January 2026 | 25.11 (47.88%) | 17.31 | 17.31 - 25.11 | 0.9771 times | Wed 31 December 2025 | 16.98 (53.39%) | 11.29 | 11.29 - 16.98 | 1.1798 times | Fri 28 November 2025 | 11.07 (38.55%) | 8.14 | 8.14 - 11.07 | 0.032 times | Thu 30 October 2025 | 7.99 (23.3%) | 6.60 | 6.60 - 7.99 | 0.0118 times | Tue 30 September 2025 | 6.48 (48.62%) | 4.44 | 4.44 - 6.48 | 0.0044 times | Fri 29 August 2025 | 4.36 (42.02%) | 3.13 | 3.13 - 4.36 | 0.0361 times | Thu 31 July 2025 | 3.07 (51.23%) | 1.50 | 1.50 - 3.07 | 0.0062 times | Mon 18 March 2024 | 2.03 (4.64%) | 1.94 | 1.94 - 2.03 | 3.3912 times | Mon 19 February 2024 | 1.94 (4.3%) | 1.86 | 1.76 - 1.94 | 25.9369 times |
Indicator Analysis of Covidh
Please login to view indicator analysis. or View indicator analysis of Covidh 534920 on MunafaSutra.com for free
DMA SMA EMA moving averages of Covidh 534920
DMA (daily moving average) of Covidh 534920
| DMA period | DMA value |
| 5 day DMA | 53.05 |
| 12 day DMA | 49.61 |
| 20 day DMA | 46.04 |
| 35 day DMA | 40.25 |
| 50 day DMA | 35.45 |
| 100 day DMA | 24.38 |
| 150 day DMA | 17.96 |
| 200 day DMA | 13.95 |
EMA (exponential moving average) of Covidh 534920
| EMA period | EMA current | EMA prev | EMA prev2 |
| 5 day EMA | 53.09 | 52.05 | 51.03 |
| 12 day EMA | 49.81 | 48.84 | 47.89 |
| 20 day EMA | 46.52 | 45.61 | 44.72 |
| 35 day EMA | 41.19 | 40.37 | 39.56 |
| 50 day EMA | 35.93 | 35.15 | 34.38 |
SMA (simple moving average) of Covidh 534920
| SMA period | SMA current | SMA prev | SMA prev2 |
| 5 day SMA | 53.05 | 52.01 | 51 |
| 12 day SMA | 49.61 | 48.64 | 47.69 |
| 20 day SMA | 46.04 | 45.14 | 44.26 |
| 35 day SMA | 40.25 | 39.47 | 38.7 |
| 50 day SMA | 35.45 | 34.76 | 34.08 |
| 100 day SMA | 24.38 | 23.91 | 23.45 |
| 150 day SMA | 17.96 | 17.61 | 17.27 |
| 200 day SMA | 13.95 | 13.68 | 13.42 |
Terms of Use Stock Market News! © ns1.bullkhan.com2026 All Rights reserved.
